The Floating Water Bridge :: | |||||||||||||||||||||||||||||||||||||||||||||||||||||||||||||||||||||||||||||||||||||||||||||||||||||||||||||||||||||||||||||
---|---|---|---|---|---|---|---|---|---|---|---|---|---|---|---|---|---|---|---|---|---|---|---|---|---|---|---|---|---|---|---|---|---|---|---|---|---|---|---|---|---|---|---|---|---|---|---|---|---|---|---|---|---|---|---|---|---|---|---|---|---|---|---|---|---|---|---|---|---|---|---|---|---|---|---|---|---|---|---|---|---|---|---|---|---|---|---|---|---|---|---|---|---|---|---|---|---|---|---|---|---|---|---|---|---|---|---|---|---|---|---|---|---|---|---|---|---|---|---|---|---|---|---|---|---|
"...And now I have only one more remark to make. There will be some amongst you who will ask what use are such experiments as these? I answer that the more we pry into the mysteries of electricity the more we shall be able to apply it to the service of mankind..." (W.G. Armstrong, "Electrical Phenomena", in: "The Newcastle Literary and Philosophical Society", The Electrical Engineer, Feb. 10 (1893) 155) | |||||||||||||||||||||||||||||||||||||||||||||||||||||||||||||||||||||||||||||||||||||||||||||||||||||||||||||||||||||||||||||
The experimental setup consists of two beakers (100 ml) filled with triply deionized water. When exposed to a high d.c.voltage by putting electrodes into the beakers, water forms a stable, cylindrical bridge between two beakers. PLEASE, DO NOT TRY THIS EXPERIMENT AT HOME ! HIGH VOLTAGE IS DANGEROUS ! Das Experiment verwendet zwei Bechern (100ml), die mit mehrfach deionisiertem Wasser gefüllt werden. Danach werden zwei Elektroden in jeweils einen Becher eingebracht. Legt man eine Hochspannung zwischen diese Elektroden bildet sich eine stabile, zylindrische Brücke aus Wasser zwischen den Behältern. BITTE DEN VERSUCH NICHT ZU HAUSE NACHSTELLEN! HOCHSPANNUNG IST LEBENSGEFÄHRLICH ! Die Fotos wurden mit einer Sony Digicam von J. Woisetschläger
|
![]() |
||||||||||||||||||||||||||||||||||||||||||||||||||||||||||||||||||||||||||||||||||||||||||||||||||||||||||||||||||||||||||||
![]() |
![]() |
![]() |
|||||||||||||||||||||||||||||||||||||||||||||||||||||||||||||||||||||||||||||||||||||||||||||||||||||||||||||||||||||||||||
![]() |
![]() |
||||||||||||||||||||||||||||||||||||||||||||||||||||||||||||||||||||||||||||||||||||||||||||||||||||||||||||||||||||||||||||
:::::::::: | |||||||||||||||||||||||||||||||||||||||||||||||||||||||||||||||||||||||||||||||||||||||||||||||||||||||||||||||||||||||||||||
|
|||||||||||||||||||||||||||||||||||||||||||||||||||||||||||||||||||||||||||||||||||||||||||||||||||||||||||||||||||||||||||||
:::::::::: | |||||||||||||||||||||||||||||||||||||||||||||||||||||||||||||||||||||||||||||||||||||||||||||||||||||||||||||||||||||||||||||
Movies :: |
|||||||||||||||||||||||||||||||||||||||||||||||||||||||||||||||||||||||||||||||||||||||||||||||||||||||||||||||||||||||||||||
![]() |
![]() |
These videos were recorded with a commercial video camera and show the water bridge from different views. Diese Videos wurden mit einer käuflichen Videokamera aufgenommen und zeigen die Wasserbrücke aus verschiedenen Perspektiven. |
|||||||||||||||||||||||||||||||||||||||||||||||||||||||||||||||||||||||||||||||||||||||||||||||||||||||||||||||||||||||||||
mpg video 15.5 MB | mpg video 8.4MB | ||||||||||||||||||||||||||||||||||||||||||||||||||||||||||||||||||||||||||||||||||||||||||||||||||||||||||||||||||||||||||||
![]() |
![]() |
||||||||||||||||||||||||||||||||||||||||||||||||||||||||||||||||||||||||||||||||||||||||||||||||||||||||||||||||||||||||||||
mpg video 65 MB
|
mpg video 15.5 MB | ||||||||||||||||||||||||||||||||||||||||||||||||||||||||||||||||||||||||||||||||||||||||||||||||||||||||||||||||||||||||||||
:::::::::: | |||||||||||||||||||||||||||||||||||||||||||||||||||||||||||||||||||||||||||||||||||||||||||||||||||||||||||||||||||||||||||||
Data :: | |||||||||||||||||||||||||||||||||||||||||||||||||||||||||||||||||||||||||||||||||||||||||||||||||||||||||||||||||||||||||||||
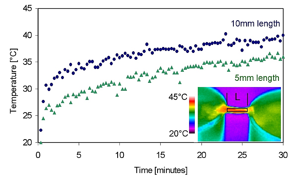
The two following pictures present the force between the two beakers and the respective high voltage (at constant current 0.5 mA) as function of bridge length, as well as the surface temperature of the bridge). Die folgenden beiden Bilder zeigen die Kraft zwischen den Bechern und die entsprechende Hochspannung (bei konstantem Strom 0,5 mA) als Funktion der Brückenlänge, sowie die Oberflächentemperatur der Brücke. |
![]() |
![]() |
|||||||||||||||||||||||||||||||||||||||||||||||||||||||||||||||||||||||||||||||||||||||||||||||||||||||||||||||||||||||||||
:::::::::: | |||||||||||||||||||||||||||||||||||||||||||||||||||||||||||||||||||||||||||||||||||||||||||||||||||||||||||||||||||||||||||||
High Speed Visualisation :: |
|||||||||||||||||||||||||||||||||||||||||||||||||||||||||||||||||||||||||||||||||||||||||||||||||||||||||||||||||||||||||||||
High speed visualization is of special interest during the start-up of the brigde and for the observation of dynamics processes. There are four movies presenting the formation of the bridge, one with projected fringes for surface contouring, one shows the rupture, and two the deflection in the field of an electrically charged glas rod. Visualisierungen mit Hilfe einer Hochgeschwindikeitskamera sind von besonderem Interesse wenn sich die Brücke bildet und zur Beobachtung dynamischer Prozesse. Es sind vier Filme zur Bildung der Brücke zu sehen, ein Film mit projizierten Streifen zur Oberflächenkonturierung, ein Film zum Abriss sowie zwei Filme Ablenkung im Feld eines elektrisch geladenen Glasstabes. |
|||||||||||||||||||||||||||||||||||||||||||||||||||||||||||||||||||||||||||||||||||||||||||||||||||||||||||||||||||||||||||||
![]() |
![]() |
![]() |
|||||||||||||||||||||||||||||||||||||||||||||||||||||||||||||||||||||||||||||||||||||||||||||||||||||||||||||||||||||||||||
mpg video 15 MB | mpg video 15 MB | mpg video 13 MB | |||||||||||||||||||||||||||||||||||||||||||||||||||||||||||||||||||||||||||||||||||||||||||||||||||||||||||||||||||||||||||
![]() |
![]() |
![]() |
|||||||||||||||||||||||||||||||||||||||||||||||||||||||||||||||||||||||||||||||||||||||||||||||||||||||||||||||||||||||||||
mpg video 62.4 MB | mpg video 17.3 MB | mpg video 13 MB | |||||||||||||||||||||||||||||||||||||||||||||||||||||||||||||||||||||||||||||||||||||||||||||||||||||||||||||||||||||||||||
![]() |
:::::::::: | ![]() |
|||||||||||||||||||||||||||||||||||||||||||||||||||||||||||||||||||||||||||||||||||||||||||||||||||||||||||||||||||||||||||
mpg video 8.7 MB |
mpg video 15 MB |
||||||||||||||||||||||||||||||||||||||||||||||||||||||||||||||||||||||||||||||||||||||||||||||||||||||||||||||||||||||||||||
Thermography :: |
|||||||||||||||||||||||||||||||||||||||||||||||||||||||||||||||||||||||||||||||||||||||||||||||||||||||||||||||||||||||||||||
![]() |
Mit Hilfe einer Thermografiekamera kann die Temperatur der Wasseroberfläche bestimmt werden. Die folgenden Aufnahmen zeigen die Brücke bei der Entstehung und im Betrieb. |
||||||||||||||||||||||||||||||||||||||||||||||||||||||||||||||||||||||||||||||||||||||||||||||||||||||||||||||||||||||||||||
mpg video 15 MB |
mpg video 15 MB |
||||||||||||||||||||||||||||||||||||||||||||||||||||||||||||||||||||||||||||||||||||||||||||||||||||||||||||||||||||||||||||
:::::::::: |
|||||||||||||||||||||||||||||||||||||||||||||||||||||||||||||||||||||||||||||||||||||||||||||||||||||||||||||||||||||||||||||
Density Gradients :: |
|||||||||||||||||||||||||||||||||||||||||||||||||||||||||||||||||||||||||||||||||||||||||||||||||||||||||||||||||||||||||||||
Durch die Gestalt der Brücke und Dichtefluktuationen im Inneren wird Licht gebrochen. Verschiedene Projektionssysteme erlauben einen Blick "in das Innere". | By the shape of the bridge and density fluctuations inside the bridge, light is refracted. Different projections systems allow a view "into" the bridge. | ||||||||||||||||||||||||||||||||||||||||||||||||||||||||||||||||||||||||||||||||||||||||||||||||||||||||||||||||||||||||||||
mpg video 15 MB |
|||||||||||||||||||||||||||||||||||||||||||||||||||||||||||||||||||||||||||||||||||||||||||||||||||||||||||||||||||||||||||||
![]() |
When a parallel fringe pattern (placed on the diffusor in the background) is observed through the bridge, significant distortions in the optical path become visible. These changes in optical path are related to changes in geometry (thickness) and in density. Betrachtet
man ein paralleles Streifensystem (auf der dahinter liegenden
Mattscheibe) durch die Brücke, so werden deutliche Schwankungen des
optischen Weges durch die Brücke sichtbar. Diese Änderungen des
geometrischen Weges sind mit Geometrieänderungen (Durchmesser) und
Dichteänderungen verbunden. |
![]() |
|||||||||||||||||||||||||||||||||||||||||||||||||||||||||||||||||||||||||||||||||||||||||||||||||||||||||||||||||||||||||||
mpg video 10.1 MB (slow motion factor 200) |
mpg video 14.6 MB (slow motion factor 200) |
||||||||||||||||||||||||||||||||||||||||||||||||||||||||||||||||||||||||||||||||||||||||||||||||||||||||||||||||||||||||||||
::::::::: |
|||||||||||||||||||||||||||||||||||||||||||||||||||||||||||||||||||||||||||||||||||||||||||||||||||||||||||||||||||||||||||||
Thermography :: | |||||||||||||||||||||||||||||||||||||||||||||||||||||||||||||||||||||||||||||||||||||||||||||||||||||||||||||||||||||||||||||
![]() |
For this experiment we placed the beakers on electronic scales to record the mass increase and decrease in the beakers. Additionally the bridge was observed with a camcorder and a thermographic camera. Using a thermographic camera the temperature of the water surface can be measured. Für dieses Experiment wurden die Becher auf elektronische Waagen gestellt um die Massenzunahme und -abnahme bestimmen zu können. Zusätzlich wurde die Brücke mit einer Videokamera und einer thermografischen Kamera beobachtet. Mit Hilfe einer Thermografiekamera kann die Temperatur der Wasseroberfläche bestimmt werden. |
![]() |
|||||||||||||||||||||||||||||||||||||||||||||||||||||||||||||||||||||||||||||||||||||||||||||||||||||||||||||||||||||||||||
mpg video 22.2 MB (time lapse factor 25) |
mpg video 30.6 MB (time lapse factor 25) |
||||||||||||||||||||||||||||||||||||||||||||||||||||||||||||||||||||||||||||||||||||||||||||||||||||||||||||||||||||||||||||
![]() |
![]() |
||||||||||||||||||||||||||||||||||||||||||||||||||||||||||||||||||||||||||||||||||||||||||||||||||||||||||||||||||||||||||||
mpg video 20.8 MB (time lapse factor 25) |
mpg video 41.2 MB (time lapse factor 25) |
||||||||||||||||||||||||||||||||||||||||||||||||||||||||||||||||||||||||||||||||||||||||||||||||||||||||||||||||||||||||||||
::::::::: | |||||||||||||||||||||||||||||||||||||||||||||||||||||||||||||||||||||||||||||||||||||||||||||||||||||||||||||||||||||||||||||
pH :: | |||||||||||||||||||||||||||||||||||||||||||||||||||||||||||||||||||||||||||||||||||||||||||||||||||||||||||||||||||||||||||||
When adding a pH dye the change in water pH during bridge operation can be observed. (orange pH 5, yellow pH 6, green pH 7, cyan pH 8 and blue pH 9). Adding the dye changes the conductivity and therefore the bridge dimensions. We did tests with different electrode materials. Durch
Zugabe eines pH Indikators kann die Änderung des pH Wertes des Wassers
während des Betriebes mitverfolgt werden (orange pH 5, gelb pH 6, grün
pH 7, cyan pH 8 und blau pH9). Durch den pH Indikator ändert sich aber
auch die Leitfähigkeit und somit auch die Stärke der Brücke. Zu sehen
sind Tests mit verschiedenen Elektrodenmaterialien (Platin, Silber,
Aluminium). |
![]() |
![]() |
![]() |
![]() |
|||||||||||||||||||||||||||||||||||||||||||||||||||||||||||||||||||||||||||||||||||||||||||||||||||||||||||||||||||||||||
Pt | Ag | Al | Pt | ||||||||||||||||||||||||||||||||||||||||||||||||||||||||||||||||||||||||||||||||||||||||||||||||||||||||||||||||||||||||||
![]() |
![]() |
![]() |
|||||||||||||||||||||||||||||||||||||||||||||||||||||||||||||||||||||||||||||||||||||||||||||||||||||||||||||||||||||||||||
Pt mpg video 35.5 MB (time lapse factor 25) |
Pt mpg video 17 MB (time lapse factor 25) |
Pt mpg video 19.3 MB (time lapse factor 25) |
|||||||||||||||||||||||||||||||||||||||||||||||||||||||||||||||||||||||||||||||||||||||||||||||||||||||||||||||||||||||||||
![]() |
![]() |
![]() |
|||||||||||||||||||||||||||||||||||||||||||||||||||||||||||||||||||||||||||||||||||||||||||||||||||||||||||||||||||||||||||
Pt mpg video 19.3 MB (time lapse factor 25) |
Ag (with electrolysis) mpg video 12.8 MB (time lapse factor 25) |
Al (with electrolysis) mpg video 19.3 MB (time lapse factor 25) |
|||||||||||||||||||||||||||||||||||||||||||||||||||||||||||||||||||||||||||||||||||||||||||||||||||||||||||||||||||||||||||
![]() |
|||||||||||||||||||||||||||||||||||||||||||||||||||||||||||||||||||||||||||||||||||||||||||||||||||||||||||||||||||||||||||||
Pt, low voltage reference (70V), single beaker, no bridge mpg video 13.5 MB (time lapse factor 25) |
|||||||||||||||||||||||||||||||||||||||||||||||||||||||||||||||||||||||||||||||||||||||||||||||||||||||||||||||||||||||||||||
::::::::: | |||||||||||||||||||||||||||||||||||||||||||||||||||||||||||||||||||||||||||||||||||||||||||||||||||||||||||||||||||||||||||||
Particle Tracing :: | |||||||||||||||||||||||||||||||||||||||||||||||||||||||||||||||||||||||||||||||||||||||||||||||||||||||||||||||||||||||||||||
![]() |
Die
Zugabe von kleinen Teilchen ermöglicht die Visualisierung der
Oberflächenströmung der Brücke. Hierbei handelte es sich um
Polymidküglechen mit 5 Mikrometer Durchmesser mit und ohne
Fluoreszenzbeschichtung. |
![]() |
|||||||||||||||||||||||||||||||||||||||||||||||||||||||||||||||||||||||||||||||||||||||||||||||||||||||||||||||||||||||||||
mpg video 62.4 MB (slow motion factor 80) |
mpg video 17 MB (realtime, fluorescent particles) |
||||||||||||||||||||||||||||||||||||||||||||||||||||||||||||||||||||||||||||||||||||||||||||||||||||||||||||||||||||||||||||
::::::::: | |||||||||||||||||||||||||||||||||||||||||||||||||||||||||||||||||||||||||||||||||||||||||||||||||||||||||||||||||||||||||||||
Light Scatter :: | |||||||||||||||||||||||||||||||||||||||||||||||||||||||||||||||||||||||||||||||||||||||||||||||||||||||||||||||||||||||||||||
![]() |
Die
ersten zwei Filme zeigen die Brücke zwischen gekreuzten Polarisatoren.
Reflexion von Licht unter dem Brewsterwinkel könnte die beobachtete
Änderung der Polarisationsrichtung erklären. Im dritten Film wird ein
Laserstrahl in die Brücke fokusiert. In der Nähe der Oberfläche kommt
es zur Streuung des Lichts an mikroskopischen Strukturen - vermutlich
ein Bläschennetzwerk. Im vierten Film wird zuerst dem Anodenbecher,
dann dem Kathodenbecher ein kleine Menge in Ethanol vorgelöstes
Rhodamin B beigegeben. |
![]() |
|||||||||||||||||||||||||||||||||||||||||||||||||||||||||||||||||||||||||||||||||||||||||||||||||||||||||||||||||||||||||||
mpg video 21 MB (polarizer -45°, analyzer 45°) |
mpg video 17.4 MB (polarizer 0°, analyzer 90°) |
||||||||||||||||||||||||||||||||||||||||||||||||||||||||||||||||||||||||||||||||||||||||||||||||||||||||||||||||||||||||||||
![]() |
![]() |
||||||||||||||||||||||||||||||||||||||||||||||||||||||||||||||||||||||||||||||||||||||||||||||||||||||||||||||||||||||||||||
mpg video 10.1 MB |
mpg video 81.2 MB | ||||||||||||||||||||||||||||||||||||||||||||||||||||||||||||||||||||||||||||||||||||||||||||||||||||||||||||||||||||||||||||
::::::::: | |||||||||||||||||||||||||||||||||||||||||||||||||||||||||||||||||||||||||||||||||||||||||||||||||||||||||||||||||||||||||||||
Gasses :: | |||||||||||||||||||||||||||||||||||||||||||||||||||||||||||||||||||||||||||||||||||||||||||||||||||||||||||||||||||||||||||||
![]() |
The bridge was operated under different atmospheres. Under Helium no bridge started. When carbon dioxide was added, the bridge became smaller in diameter (second movie). Die Brücke wurde unter verschiedenen Atmosphären in Betrieb genommen. In Helium startete keine Brücke. Durch Zugabe von Kohlendioxid verringerte sich der Brückendurchmesser (zweiter Film). |
![]() |
|||||||||||||||||||||||||||||||||||||||||||||||||||||||||||||||||||||||||||||||||||||||||||||||||||||||||||||||||||||||||||
mpg video 13.2 MB | mpg video 26.1 MB | ||||||||||||||||||||||||||||||||||||||||||||||||||||||||||||||||||||||||||||||||||||||||||||||||||||||||||||||||||||||||||||
:::::::::: | |||||||||||||||||||||||||||||||||||||||||||||||||||||||||||||||||||||||||||||||||||||||||||||||||||||||||||||||||||||||||||||
Links :: |
|||||||||||||||||||||||||||||||||||||||||||||||||||||||||||||||||||||||||||||||||||||||||||||||||||||||||||||||||||||||||||||
Selected water bridge links
|
|||||||||||||||||||||||||||||||||||||||||||||||||||||||||||||||||||||||||||||||||||||||||||||||||||||||||||||||||||||||||||||
![]() |
|||||||||||||||||||||||||||||||||||||||||||||||||||||||||||||||||||||||||||||||||||||||||||||||||||||||||||||||||||||||||||||
Homepage of Prof. Dr. Jakob Woisetschläger | |||||||||||||||||||||||||||||||||||||||||||||||||||||||||||||||||||||||||||||||||||||||||||||||||||||||||||||||||||||||||||||
![]() |
Institute of Physical and Theoretical Chemistry, TU Graz, water bridge site | ||||||||||||||||||||||||||||||||||||||||||||||||||||||||||||||||||||||||||||||||||||||||||||||||||||||||||||||||||||||||||||
![]() |
physorg.com water bridge report | ||||||||||||||||||||||||||||||||||||||||||||||||||||||||||||||||||||||||||||||||||||||||||||||||||||||||||||||||||||||||||||
![]() |
Nature News water bridge report | ||||||||||||||||||||||||||||||||||||||||||||||||||||||||||||||||||||||||||||||||||||||||||||||||||||||||||||||||||||||||||||
![]() |
Ambassade de France en Autriche water bridge report | ||||||||||||||||||||||||||||||||||||||||||||||||||||||||||||||||||||||||||||||||||||||||||||||||||||||||||||||||||||||||||||
:::::::::: | |||||||||||||||||||||||||||||||||||||||||||||||||||||||||||||||||||||||||||||||||||||||||||||||||||||||||||||||||||||||||||||
:::::: |